成人卡通 - 成人卡通无码里番在线看

本科生教育

本科生动态

主页 » 本科生教育 » 本科生动态 » 正文

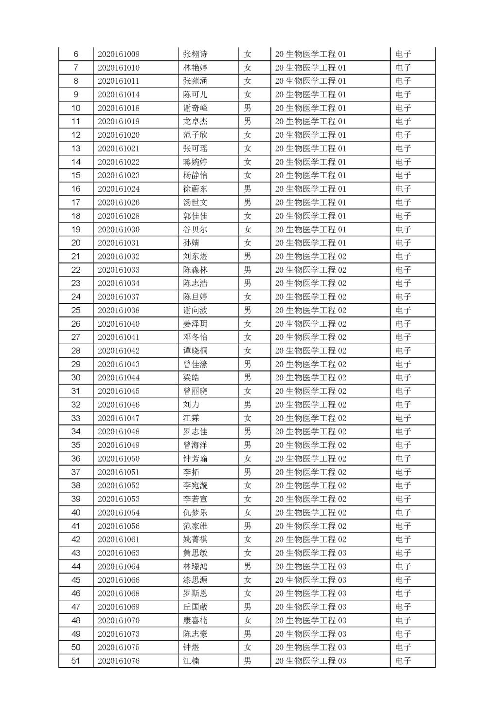
成人卡通 生物医学工程专业2020级培养方向分班公示

发布日期:2021-07-15    作者:     来源:    点击: